Активность
- Последний час
-
Всё же надо завершить эту ветку традиционным отчётом "о проделанной работе". Итак - "Итоги-2025 и ожидания-2026". Начну с бизнеса и "средней температуры по лаборатории". Самый главный итог года: несмотря на давление густопсового геополитизма, у нас всё нормально. // И чтоб они все там сдохли! Глобальный бизнес развивается, доходы (много где) растут. Да, не везде, и понятно, что ситуация непростая, ну а когда она была простая? Уже давно такого не помню... Но в целом всё норм, компания стабильна и устойчива, планомерно развиваем продукты, технологии и сервисы, становятся сильнее региональные команды (там, где требуется). В текущих условиях это реально большое достижение – и это результат большой и сложной работы всей команды. Все - молодцы! Второй главный итог года: мы больше не только софтверная компания. У нас уже имелась железка SD-WAN, которая вполне неплохо себя чувствует, но теперь свежевыпущенный железный NGFW грозится стать уже в обозримом будущем серьёзной частью бизнеса. Пожелаем ему удачи! Официальные продажи стартовали хорошо, работаем над вариантами экспорта... - а это для нас новая практика. Экспортировать софт = одна история (простая), а вот железо.. Наверное, будем там за бугром и производить. Тем более, что интерес там есть однозначный. Третий для меня итог года – наша операционка пошла за рубеж, работая на тонких клиентах Centerm. Это началось в 2023, продолжилось в 2024, в 2025-м пошло активное развитие. Пальцы крестиком! А также год выдался насыщенным и на публичную активность. Итого: я участвовал в 35+ мероприятиях, выставках, лекциях в школах/университетах, а также в различных официальных подписаниях, за заодно было 20+ интервью. Такие вот мои бизнес-итоги, если хорошенько отжать всю лирику и прочие неважные подробности. Такие вот мои бизнес-итоги, если хорошенько отжать всю лирику. Дальше про путешествия. Летал в 2025-м традиционно много. Всего за год было 77 лётных сегментов, суммарно в воздухе провёл около 327 часов (вертолёты в расчёт не беру). Самым частым перевозчиком (предсказуемо) стал Аэрофлот (16 перелётов), далее Turkish Airlines (13) и LATAM Airlines (7). За год побывал в 15 странах, не считая повторов. Было немало поездок по России (в том числе путешествия по Алтаю и Камчатке), а также плотный латиноамериканский блок: Перу, Боливия, Чили, Аргентина, Бразилия. По дороге побывал в 24+ городах и переночевал в 52 отелях (палатки и разные кемпинги, как водится, не считаются). Впервые побывал в Грузии. Таким образом, она стала 108й страной в моей личной географической копилке посещённых стран.
-
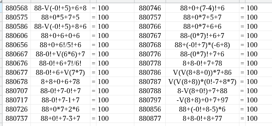
880788 ---> (8 + 8 ) × (-0 + 7) + V(8 + 8 ) 880656 ---> VV(8^8) + 6 × 5 + 6 880778 ---> VVV( ( 8/(807 - 7 ))^( -8 ) )
-
880 880xxx.xods В целом, скучноватая комбинация. Обычно "88+12". В конце даже порезвиться захотелось...
-
Посмотрел 881 и "слепить" их вместе не получается, поскольку там есть очень "вкусные" конкатенации -> 8812 88+12 = 100, (V( 8*8 )+12)* "05" = 100 not "01,02,05,10" = 1 8813 V( 8+8 )+1*3! = 10, 88+13 = 101, 8+81+3! = 95 not "01,02,05,10" = 1 Они дают '1', что резко уменьшает количество переборов, но с '0' это не работает.. Посему, 880 отдельно, а 881 тоже отдельно.
- Сегодня
-
Вот это тоже весьма неплохо. 880 - двигаться дальше! ( 8/80 )^( -"002" ) = 100 Однако, там дальше маячит 881 - и там такой фокус не проходит. Но если мы порешаем "881", то вполне вероятно, что и "880" заодно тоже. Посему, предлагаю заняться "881".
-
Подозрение на вирус(ратник или стиллер)
Quester1337 ответил Quester1337 тема в Помощь в удалении вирусов
Здравствуйте, просканировал. Логи прикрепляю Addition.txt FRST.txt -
Готово. Проверяйте 878xxx.xods Особо хороши вот эти: V(V(8!/7!+8))*(7*7+0!) = 100 8+V(V(V(7^8)))+7+78 = 100 (8!/7!+V(V(8+8)))*(5+5) = 100 Да и в целом там непросто было...
-
Важное замечание! Оптимизиция "через цифры" вроде: "adc-0-ef" <=> "adc-1-ef" ( 0!=1 ), "adc 2 ef" => "adc 4 ef" ( V(4)=2 ), "adc 6 ef" => "adc 3 ef" ( 3!=6 ) => "adc 9 ef" ( V(9)=3 ) = в не работает, если: 1. Есть конкатенации в вычислениях (про это уже было). 2. Наборы "not-??-??..." для "0 <=> 1", "2 => 4" и "6 => 3 => 9" должны быть одинаковыми (или "младшие" исключения должны перекрывать "старших" // это новое важное дополнение. /// но вроде бы ненужное, поскольку если мы сделали для '2', то автоматом получается для '4'... или это я паранойю после рабочего дня? Этот метод был объяснён и применён для вычисления "не-004" вооон там.
-
Принято и дополнено - см. чуть выше. Важное замечание! Оптимизиция "через цифры" вроде: "adc0ef" <=> "adc1ef", "adc2ef" => "adc4ef" ( V(4)=2 ), "adc6ef" => "adc3ef" ( 3!=6 ) => "adc9ef" ( V(9)=3 ) = в данном случае не работает для "двоек" и "троек", поскольку: 1. Есть конкатенация "86" в 8786. 2. Наборы "not-??-??..." для '2-4' и '6-3-9" разные, но должны быть одинаковыми! // это новое важное дополнение. Только что заметил. Надо бы перепроверить что раньше было подсчитано... Итого, надо подсчитать варианты: 878056 878707 878806 878866 878067 878717 878807 878867 878078 878756 878817 878870 878087 878765 878855 878871 878766 878856 878876 878256 878767 878860 878877 878265 878770 878861 878878 878266 878771 878865 878887 878267 878776 878287 878777 878778 878385 878787
-
Позволю от себя сказать. Вот Тут для юридических лиц есть льготы в сфере медицины, образования, науки. В теории можно было поддержать и уязвимые слои населения - тех же инвалидов, сирот, многодетных семей, малоимущих.... - и сделать льготную подписку. У тех же магазинов, операторов сотовой и стационарной связи есть льготные карточки и социальные тарифы. Либо силами фан-клуба на добровольных началах провести акцию - установи антивирус пенсионеру или инвалиду.
-
Публикуем правильные ответы Всем спасибо за участие, поздравляю
-
Помогите удалить TrojanBAT/Boxter.HAN!MTB
andrew75 ответил prijemnom3v тема в Помощь в удалении вирусов
Порядок оформления запроса о помощи -
Здравствуйте. Скорее всего поймал троян-майнер. Комп в режиме ожидания нагружает ЦП, при включении диспетчера задач, процессор со 100% нагрузки падает моментально на 3-6%. Чищу антивирусом и после перезагрузки появляется снова. Помогите разобраться, умоляю
-
prijemnom3v присоединился к сообществу
-
FRST.txt Addition.txt CollectionLog-2026.01.20-18.32.zip
-
-
Kodomo присоединился к сообществу
-
Новая недавно обнаруженная уязвимость WhisperPair позволяет превратить Bluetooth-наушники и гарнитуры многих известных фирм в трекинговые маячки для слежки за их владельцами, вне зависимости от того, подключены ли эти аксессуары к iPhone, Android-смартфону или даже ноутбуку. И несмотря на то, что технология, особенности реализации которой производителями гарнитур сделала возможной данную уязвимость, разработана в Google для Android-устройств, риски слежки оказываются куда выше у тех, кто использует уязвимые гарнитуры с устройствами под управлением других ОС — iOS, macOS, Windows или Linux — а владельцев iPhone это касается в первую очередь. Первичное подключение Bluetooth-наушников к Android-смартфонам стало проще и быстрее, когда Google внедрила технологию быстрого сопряжения Fast Pair, которую взяли на вооружение десятки производителей аксессуаров. Чтобы сопрячь со смартфоном новую гарнитуру, поддерживающую эту технологию, достаточно включить ее и поднести к смартфону. Если тот достаточно современный (произведен после 2019 года), на его экране всплывет окошко с предложением подключиться к гарнитуре и загрузить фирменное приложение для наушников, если оно существует. Одно касание — и дело сделано. К сожалению, многие производители гарнитур, видимо, неправильно прочитали инструкцию к этой технологии, поэтому их аксессуары можно за считаные секунды подключить к чужому смартфону, даже если гарнитура не находится в режиме сопряжения. В этом суть уязвимости WhisperPair, недавно найденной исследователями из Лёвенского университета и получившей номер CVE-2025-36911. Вредоносное устройство — обычный смартфон или ноутбук атакующего — транслирует запросы Google Fast Pair и пытается соединиться с BT-устройствами в радиусе 14 метров. Как выясняется, на эти запросы, даже не находясь в режиме сопряжения, откликаются многие наушники Sony, JBL, Redmi, Anker, Marshall, Jabra, OnePlus и даже Pixel Buds 2 от Google. На атаку в среднем требуется 10 секунд. View the full article
-
Проблема с windows ошибка faulty hardware corrupted page
thyrex ответил kuloone тема в Помощь в удалении вирусов
Расширенная поддержка закончилась Внимание! Скачать обновления ^Корпоративные версии обновляются установкой с DVD или Flash-носителя соответствующей редакции. На устройстве может отсутствовать возможность получать обновления, если его оборудование несовместимо, на нем нет актуальных драйверов или истек срок его поддержки, предоставляемой поставщиком вычислительной техники (OEM).^ CPUID CPU-Z MSI 1.97 v.1.97 Внимание! Скачать обновления Git v.2.51.2 Внимание! Скачать обновления NVIDIA App 11.0.5.266 v.11.0.5.266 Внимание! Скачать обновления AIDA64 Extreme v6.75 v.6.75 Внимание! Скачать обновления AnyDesk v.ad 9.0.9 Внимание! Скачать обновления FileZilla 3.69.1 v.3.69.1 Внимание! Скачать обновления Microsoft Office Professional Plus 2016 v.16.0.4266.1001 Данная программа больше не поддерживается разработчиком. Обновите Microsoft Office до последней версии или используйте Office Online или LibreOffice Microsoft Visual C++ 2015-2022 Redistributable (x86) - 14.44.35211 v.14.44.35211.0 Внимание! Скачать обновления Microsoft Visual C++ 2015-2022 Redistributable (x64) - 14.44.35211 v.14.44.35211.0 Внимание! Скачать обновления Intel® Driver & Support Assistant v.23.4.39.9 Внимание! Скачать обновления Яндекс.Диск v.3.2.42.5054 Внимание! Скачать обновления Notepad++ (64-bit x64) v.8.7.7 Внимание! Скачать обновления Microsoft Visual Studio Code (User) v.1.105.1 Внимание! Скачать обновления Zoom Workplace v.6.6.6 (19875) Внимание! Скачать обновления Skype, версия 8.134 v.8.134 Данная программа больше не поддерживается разработчиком. Рекомендуется использовать Microsoft Teams. Java 8 Update 401 (64-bit) v.8.0.4010.10 Внимание! Скачать обновления ^Удалите старую версию и установите новую (jre-8u471-windows-x64.exe - Windows Offline (64-bit))^ VLC media player v.3.0.21 Внимание! Скачать обновления iTunes v.12.12.9.4 Внимание! Скачать обновления ^Для проверки новой версии используйте приложение Apple Software Update^ Opera GX Stable 125.0.5729.58 v.125.0.5729.58 Внимание! Скачать обновления ^Проверьте обновления через меню О программе!^ ---------------------------- [ UnwantedApps ] ----------------------------- Quick Driver Updater v.1.0.0.13 Внимание! Подозрение на Adware! Если данная программа Вам неизвестна, рекомендуется ее деинсталляция. Bonjour v.3.1.0.1 Внимание! Приложение распространяется в рамках партнерских программ и сборников-бандлов. Рекомендуется деинсталляция. Возможно Вы стали жертвой обмана или социальной инженерии. Кнопки сервисов Яндекса на панели задач v.3.7.9.0 Внимание! Приложение распространяется в рамках партнерских программ и сборников-бандлов. Рекомендуется деинсталляция. Возможно Вы стали жертвой обмана или социальной инженерии.- 14 ответов
-
- windows10
- faulty hardware corrupted page
- (и ещё 1 )
-
File C:\WINDOWS\system32\u227456 проверьте на virustotal.com и пришлите ссылку на результат проверки.
-
Дополнение: 8780 - "не 5, не 7" 87 + 8 + 0 = 95 87 + (V(8 + 0!)! = 93 8782 - "не 7" 87 + 8 - 2 = 93 8783 - "не 5, не 7" - 8 - 7 + (8 - 3)! = 105 87 - 8 + 3 × 7 = 100 8785 - "не 3" (ПУСТО!) -8 - 7 - 8 + 5! = 97 8786 - "не 5, не 6" - 8 + 78 + 6 × 5 = 100 8!/7! + 86 = 94 8787 - "не 3" 87 - 8 + 7 × 3 = 100
-
mimic/n3wwv43 ransomware Последствия шифровальщика
safety ответил Bonkers тема в Помощь в борьбе с шифровальщиками-вымогателями
Судя по логу FRST система очищена успешно. Для доп. анализа проверьте ЛС. -
ouroboros шифровальщик .ant_dec
safety ответил sansaR тема в Помощь в борьбе с шифровальщиками-вымогателями
Увы, пара не поможет, чтобы восстановить сессионный prvkey из HOP. Он зашифрован сим.ключом, который в свою очередь зашифрован публичным мастер ключом RSA -
mimic/n3wwv43 ransomware Последствия шифровальщика
Bonkers ответил Bonkers тема в Помощь в борьбе с шифровальщиками-вымогателями
Папка Quarantine архив загружен, ссылка удалена Fixlog.txt DECRYPT-info.txt -
Замена сертификата основного на резервный
mike 1 ответил Rgn тема в Помощь по корпоративным продуктам
В резервном сертификате вероятно старый FQDN сервера KSC.
