Перейти к содержанию

Рекомендуемые сообщения

Опубликовано

600 - начнём. И это как-то совсем просто.

 

600/"006" = not "006"    = 2 штуки.

 

600727
600747

 

// Зевая.. - ааах, вот они, принимайте:

600xxx.xods

 

image.png

Опубликовано

А вот это может вам доставить удовольствие... или вы уже привыкли такие решать?

 

601267 =? 100

601478 =? 100

601660 =? 100

601707 =? 100

601717 =? 100

Опубликовано

601  - "трёхзнаков" не вижу.. Идём по "4-знаки + 2-знаки".

 

6010                                                                                               <= "6011"
6011    (6+0!)*(1+1) = 10, 601-1 = 600                                          not "02,06,10"  =6 штук.
6012    (6-0!)*1*2=10, 60/(1+2) = 20, (6-0!)!-12 = 108                  not "02,05,08,10" =10.
6013                                                                                               <= "6016"
6014    6+0*1+4=10, 60/(-1+4) = 20, (6-1)!-14 = 106                   not "02,05,06,10"  =6.
6015    6-0-1+5 = 10, -6*(0!+1)+5! = 108, (6+0!)*15 = 105          not "02,05,08,10"  =10.
6016    6-0!-1+6 = 10, 60+(-1+6)*"08" = 100                                not "02,08,10"      =18.
6017    6/(0!+1)+7 = 10, (6-0!)!-17 = 103, 6+(0!+1)*7 = 20           not "02,03,05,10"  =12.
6018    6+0!+V(1+8) = 10, (6+0)*18 = 108, 60*1+8*"05" = 100    not "02,05,08,10"  =10.
6019                                                                                                <= "6013"

 

Что-то многовато = 85 72 комбинации... Никак оптимизнуть не получится?

 

601156    601536    601606    601836
601167    601556    601627    601856
601176    601565    601636    601865
601177    601566    601647    601866
601178    601567    601656    601867
601187    601576    601658    601876
                601577    601660    601877
601236    601578    601661    601878
601256    601585    601665    601885
601265    601596    601666    601896
601266                   601667
601267    601707    601672
601276    601717    601674
601277    601756    601676    
601278    601765    601677
601285    601766    601678
601296    601767    601685
                601770    601696
601456    601771
601467    601776
601476    601777
601477    601778
601478    601787
601487

Опубликовано

Саоме большое тут наверно только из-за ...3|6|9. Их оптимизировать не получилось. А вот тут можно сделать вот так:

(6-0!)-14 = 106. и тогда превращается в "не-02-05-06" = 6 штук.
56  67  76  77  78  87

 

601456

601467

601476

601477

601478

601487


6014    6+0*1+4=10, 60/(-1+4) = 20                                             not "02,05,10"  =19.

Опубликовано
1 час назад, santax сказал:

А вот тут можно сделать вот так:

(6-0!)-14 = 106. и тогда превращается в "не-02-05-06" = 6 штук.

Точно! И полное решение выглядит вот так ->

(красным выделены конкатенации '6', которые надо пересчитать для '3' и '9')

601xxx.xods

 

image.png

Опубликовано

607 - следующая.

 

6!/(0!+7) = 90    not "010" - многовато будет.. Других полезных выражений не вижу. Ну, по традиции:

 

6070                                                                                                <= "6071"
6071    60/(7-1) = 10, 6!/(0!+7)+1 = 91                                           not "02,09,10"  =17.
6072    6-0!+7-2 = 10, (6-0!)!-7*2 = 106, 6*(0!+7^2) = 300            not "02,03,06,10"  =6.
6073                                                                                                 <= "6076"
6074                                                                                                 <= "6021"
6075    6-(0*7)!+5 = 10, -6 +/-/* 0!-7+5! = 106,107,108                 not "02,06,07,08,10"  =2.
6076    60+7*6 = 102, 6!/(0!+7!/6!) = 90, (6-0!)!-7-6 = 107, (6+0!)*(7+6) = 91    not "02,07,09,10" =8.
6077    607-7 = 600, 60+7*7 = 109, (6+0!)*(7+7) = 98, 6!/V((0!+7)*8) = 90         not "02,06,09,10"  =6.    // "09" не требуется.
6078    -6+0!+7+8 = 10, (6-0!)!-7-8 = 105                                      not "02,05,10"  =19.
6079                                                                                                <= "6073"

 

Всего = 58.

 

607106    607556    607807
607107    607567    607808
607117                    607817
607156    607656    607818
607158    607658    607836
607160    607665    607856
607161    607666    607865
607165    607667    607866
607166    607678    607867
607167    607685    607870
607170    607687    607871
607171                   607876
607176    607756    607877
607177    607767    607878
607178    607776    607880
607185    607777    607881
607187    607778    607885
                607787    607887
607256                    607896
607267
607276
607277
607278
607287

Опубликовано

Для 601660 и 601661 есть интересная такая комбинация (6! - 5!)/6. И тогда получается:

 

( 6! - ( -0! * 1 + 6 )! ) / 6 * [ 0! и 1 ] = 100

Опубликовано

Красиво! Ещё наверняка пригодится - путь решения этой задачки неблизкий...

 

А тем временем 607 решается так ->

(жирным подсветил самые нетривиальные варианты)

607xxx.xods

 

image.png

Опубликовано

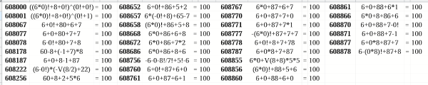
608  решается проще:

 

(6!+0)/8 + "010" = 60 + 8*"005" = 100    not "005,010" = 33 варианта для перебора.


608000    608652    608767    608861
608001    608657    608770    608866
608067    608658    608771    608870
608077    608668    608777    608871
608078    608672    608778    608877
608178    608686    608787    608878
608187    608756    608855
608222    608760    608856
608256    608761    608860

 

Опубликовано

И как-то там нет никаких вообще интриг.. Просто взять и подсчитать:

608xxx.xods

 

image.png

Опубликовано

610 - какие предложения? У меня пока только так...

 

'0' и '1' оптимально не оптимизируются, '6-3-9' тоже. Не получилось...

 

6100    (6-1)*(0!+0!) = 10, 6+100 = 106                                                  not "02,06,10"        =6 штук.
6101    (6-1)*(0!+1) = 10, 6+101 = 107, -6+101 = 95                             not "02,05,07,10"   =9.
6102    6+1+0!+2 = 10, 6+10^2 = 106                                                   not "02,06,10"        =6.
6103    6+1+0+3 = 10, -6+103 = 97, V(V((6+10-3!)^ "08" )) = 100        not "02,03,08,10"   =10.
6104                                                                                                         <= "6102"
6105    6-1+0+5 = 10, -6+105 = 99, (6-1-0!)*5*"05" = 100                    not "01,02,05,10"    =1.
6106    -6+106 = 100                                                                               not "01,02,10"        =6.
6107    -6+107 = 101, (6-1)*(-0!+7*"03") = 100                                      not "01,03"             =11.
6108    V(6-1-0!)+8 = 10, 6+V(V(10^8))-"06" = 100                                not "02,06,10"        =6.
6109    6+10-V(9)! = 10, -6+109 = 103, (6-1)*(-0!+V(9)*"07) = 100        not "02,03,07,10"   =5.

 

Всего = 60 упражнений.

 

610056    610306    610726
610067    610356    610728
610076    610360    610746
610077    610361    610748
610078    610365    610757
610087    610366    610768
                610367    610775
610136    610376    610782
610156    610377    610783
610165    610378    610784
610166                    610786
610167    610585
610178                   610856
610185    610627    610867
610187    610647    610876
610196    610658    610877
                610672    610878
610256    610674    610887
610267    610685
610276                    610956
610277                    610965
610278                    610966
610287                    610967
                                610987

Опубликовано

Всё норм, но только одна шестизнака не сотится..

610xxx.xods

 

image.png

 

610067 - что с этим делать??

Опубликовано

611 - чем дальше, тем весельчее...

 

6110    (6-1)*(1+0!) = 10, (6)V(1)*V(V(10^8)) = 100             not "02,08,10"    = 18 вариантов.
6111    (6-1)*(1+1) = 10, -6+111 = 105, (6-1)!-11 = 109     not "02,05,09,10" =13.
6112    (6-1)*1*2 = 10, (6-1)!-12 = 108, -6+112 = 106        not "02,06,08,10" =5.
6113                                                                                     <= "6116"
6114    (6-1)*1*V(4) = 10, (6-1)!-14 = 106                            not "02,06,10"    =6.
6115    6-1*1+5 = 10, -6-11+5! = 103, (6+1)*15 = 105       not "02,03,05,10"  =12.
6116    6-1-1+6 = 10                                                            not "02,10"    = 27. <= и конкатенации '6' надо отдельно разгребать..
6117    6+11-7 = 10, (6-1)!-17 = 103, 6*(1+17) = 108         not "02,03,08,10"  = 10.
6118    6+1+V(1+8) = 10, 6+11*8 = 94                               not "02,06,10"    = 6.
6119                                                                                     <= "6113"

 

Что-то другого не вижу...

Всего получается = 97 вычислений.

 

611006    611256    611606    611706
611027    611267    611607    611755
611036    611276    611608    611756
611047    611277    611617    611760
611056    611278    611618    611761
611058    611627    611765
611060    611456    611636    611766
611061    611467    611647    611767
611065    611476    611656    611776
611066    611477    611658    611777
611067    611478    611660    611778
611072    611487    611661    
611074                    611665    611856
611076    611507    611666    611867
611077    611517    611667    611876
611078    611556    611670    611877
611085    611565    611671    611878
611096    611566    611672    611887
                611567    611674    
611107    611570    611676    
611117    611571    611677    
611156    611576    611678    
611165    611577    611680    
611166    611578    611681
611167    611587    611685    
611170                    611687    
611171                    611696    
611176
611177
611178
611185
611187

Опубликовано

Ну, без внешней помощи, "611" вроде бы превращается вот в это:

611xxx.xods

 

image.png

Пожалуйста, войдите, чтобы комментировать

Вы сможете оставить комментарий после входа в



Войти
×
×
  • Создать...