Активность
- Последний час
-
А теперь намекаю посмотреть вооон туда, где ответ уже лежит: https://forum.kasperskyclub.ru/topic/471162-ne-002-i-drugie/
-
-
Викторина о PetKa, Викторина по встречам клуба. 3-я часть, Викторина о Kaspersky eSIM Store, Kaspersky On The Road Again. Map of 2025, Сказка к Новому году и тг до 16.01 начислено.
-
Рассматриваем набор abc786. Если "abc" дает двойку, то сотню получаем так: "abc" × ( 7 × 8 - 6) = 100 Если "abc" дает десятку, то вот так: "abc" + (7!)/(8!/6!) = 10 + (7!/7)/8 = 10 + 90 = 100
-
Стюардессы бегают по салону и просят выключить всё включающееся, но вот что я вам скажу: ( 7*8-6 ) * "002" = 100 => not "002" 7+86 + "007" = 100 => not "007"
-
Из списка остался только трёхзнак 786. Что про него можно сказать? // у меня заканчивается 12-часовой перелёт Сан-Паулу - Стамбул, длинно - но зато с интернетом Пора на посадку...
-
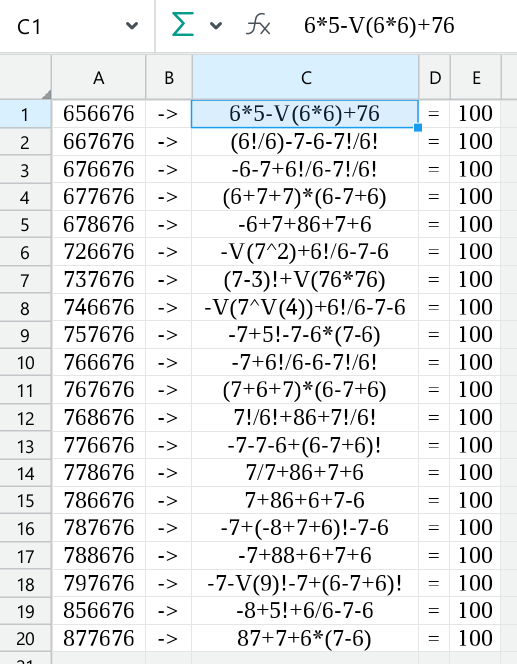
И вот что получается: оно всё собирается в сотню! Мне особо понравилось: (7+6+7)*(6-7+6) = 100 7!/6!+86+7!/6! = 100 Да и остальные тоже ничего так.. Для полноты архивов прикладываю табличку. xxx676.xods
- Сегодня
-
Ines присоединился к сообществу
-
Да я не за машинный перебор! Небольшая автоматизация сразу проверяет правильность решения и минимизирует вероятность случайных ошибок.
-
кристинатасамая scored 100% in a quiz: Викторина Kaspersky NGFW
-
Проблема осталась,вот видео https://www.youtube.com/watch?v=_NO3zpz0t_4
-
Я за архаику (или классику) - ручка, лампа, лист бумаги И упражнение хорошее, и машинно-неочевидные решения найти можно
-
он взят из буфера обмена для выполнения. это его стандартное расположение и здесь порядок. Загрузите SecurityCheck by glax24 & Severnyj и сохраните архив на Рабочем столе. Разархивируйте, запустите двойным щелчком мыши (если Вы используете Windows XP) или из меню по щелчку правой кнопки мыши Запустить от имени администратора (если Вы используете Windows Vista/7/8/10/11);Если увидите предупреждение от вашего фаервола относительно программы SecurityCheck, не блокируйте ее работу;Дождитесь окончания сканирования, откроется лог в Блокноте с именем SecurityCheck.txt;Если Вы закрыли Блокнот, то найти этот файл можно в корне системного диска в папке с именем SecurityCheck, например C:\SecurityCheck\SecurityCheck.txt;Прикрепите этот файл в своем следующем сообщении.- 7 ответов
-
- вирус
- caaservice
-
(и ещё 1 )
C тегом:
-
Или вот так: ( "010"-6 )! + 76 = 4! + 76 = 100 То есть, "трёхзнаки", из которых можно получить "002" или "010", вместе с "676" дают 100. Остаётся проверить те, которые не дают ни "002", ни "010". А это упражнение уже сделано вон там по этой ссылке - там всего 20 трёхзнаков "ни-002, ни-010". Остаётся взять этот список, прицепить к нему "676" и порешать арифметическую задачку: 656676 = 100 667676 = 100 676676 = 100 677676 = 100 678676 = 100 726676 = 100 737676 = 100 746676 = 100 757676 = 100 766676 = 100 767676 = 100 768676 = 100 776676 = 100 778676 = 100 786676 = 100 787676 = 100 788676 = 100 797676 = 100 856676 = 100 877676 = 100 МойОфис вам в руки!
-
Что сейчас с проблемой?
-
Fixlog.txt
-
Единственное не понял для чего выделял код и нигде его не вставлял, но сделал как Вы написали P.S. файл explorer.exe из папки Windows так и не исчез, как и "левый" админ в его разрешениях Fixlog.txt
- 7 ответов
-
- вирус
- caaservice
-
(и ещё 1 )
C тегом:
-
Примите к сведению - после выполнения скрипта (возможно) все открытые вкладки браузеров будут закрыты, произойдет выход из аккаунтов, временные файлы, корзина, история браузеров, куки и кэш будут очищены. Отключите до перезагрузки антивирус. Выделите следующий код: Start:: CloseProcesses: SystemRestore: On CreateRestorePoint: HKLM\Software\Microsoft\Active Setup\Installed Components: [{3961E42E-3903-431D-8DB3-B786F8AED2F7}] -> "C:\Users\Пользователь\AppData\Local\360extremebrowser\Chrome\Application\22.3.5122.64\Installer\setup.exe" --configure-user-settings --verbose-logging --system-level HKLM\SOFTWARE\Policies\Microsoft\Internet Explorer: Ограничение <==== ВНИМАНИЕ C:\Users\Пользователь\AppData\Local\Google\Chrome\User Data\Default\Extensions\gndelhfhcfbdhndfpcinebijfcjpmpec CHR HKU\S-1-5-21-2009647217-4058722035-2242085174-1001\SOFTWARE\Google\Chrome\Extensions\...\Chrome\Extension: [gndelhfhcfbdhndfpcinebijfcjpmpec] C:\Users\Пользователь\AppData\Local\Yandex\YandexBrowser\User Data\Default\Extensions\cnpeghmjdfdmneiljeibjnemfdkojdhl FirewallRules: [{22FAEC3F-343F-41C3-957B-F61AD19CE145}] => (Allow) C:\Program Files (x86)\360\Total Security\360TsLiveUpd.exe => Нет файла FirewallRules: [{651D9362-54E7-4C1B-9541-C31E925C42D6}] => (Allow) C:\Program Files (x86)\360\Total Security\360TsLiveUpd.exe => Нет файла FirewallRules: [{28BC9042-231B-4AF8-9AAC-FFD4005C2BDF}] => (Allow) C:\Program Files (x86)\360\Total Security\360TsLiveUpd.exe => Нет файла FirewallRules: [{379F919C-E99F-4E57-B2EF-DF7B722D9290}] => (Allow) C:\Program Files (x86)\360\Total Security\360TsLiveUpd.exe => Нет файла StartPowershell: Set-MpPreference -DisableAutoExclusions $true -Force Set-MpPreference -Mapsreporting basic -Force Set-MpPreference -DisableRealtimeMonitoring $false -Force Set-MpPreference -DisablePrivacyMode $true -Force Set-MpPreference -DisableIOAVProtection $false -Force Set-MpPreference -UILockdown 0 Set-MpPreference -ScanPurgeItemsAfterDelay 1 Set-MpPreference -CheckForSignaturesBeforeRunningScan $true -Force Set-MpPreference -PUAProtection enabled -Force Update-MpSignature Get-MpComputerStatus Get-MpPreference EndPowershell: EmptyTemp: Reboot: End:: Скопируйте выделенный текст (правой кнопкой - Копировать). Запустите FRST (FRST64) от имени администратора. Нажмите Исправить (Fix) один раз (!) и подождите. Программа создаст лог-файл (Fixlog.txt). Прикрепите его к своему следующему сообщению. Компьютер будет перезагружен автоматически. Подробнее читайте в этом руководстве.
-
Иван Белов присоединился к сообществу -
После скачки файла из интернета с проверенного ресурса было много срабатываний антивируса, однако я разрешил софту работать, вроде бы ничего странного не случалось, теперь я его удалил и хотел бы удостовериться, что его не осталось, т.к. в дз видел процесс повершелл который грузит цп(17-30%). Логи прилагаю. CollectionLog-2026.01.16-15.50.zip
-
Загрузите SecurityCheck by glax24 & Severnyj и сохраните утилиту на Рабочем столе. Запустите двойным щелчком мыши (если Вы используете Windows XP) или из меню по щелчку правой кнопки мыши Запустить от имени администратора (если Вы используете Windows Vista/7/8/10/11);Если увидите предупреждение от вашего фаервола относительно программы SecurityCheck, не блокируйте ее работу;Дождитесь окончания сканирования, откроется лог в Блокноте с именем SecurityCheck.txt;Если Вы закрыли Блокнот, то найти этот файл можно в корне системного диска в папке с именем SecurityCheck, например C:\SecurityCheck\SecurityCheck.txt;Прикрепите этот файл в своем следующем сообщении.
-
Как мы задаем стандарт прозрачности и доверия | Блог Касперского
KL FC Bot опубликовал тема в Новости и события из мира информационной безопасности
Жизнь современного директора по ИБ (также известного как CISO, Chief Information Security Officer) — это не только борьба с хакерами, но и бесконечный квест под названием «соответствие требованиям». Регуляторы закручивают гайки, стандарты растут как грибы, и головной боли только прибавляется. И самое «веселое» тут то, что отвечать приходится не только за свой периметр, но и, фигурально выражаясь, «за того парня». За всю вашу цепочку поставок (supply chain), за всех подрядчиков и за весь тот «зоопарк» софта, на котором крутятся ваши бизнес-процессы. Логика тут железная и, увы, беспощадная: если дыра найдется у вашего поставщика, а проблемы начнутся у вас — спросят-то в итоге с вас! Распространяется эта логика и на защитное ПО. В былые времена компании редко задумывались, что там внутри ИБ-решений и продуктов, которые они использовали. Сейчас бизнес, особенно крупный, хочет знать: а что там внутри этой «коробки»? А кто код писал? А оно не обвалит нам какую-нибудь важную функцию или, например, вообще все (а то прецеденты всякие случались, см. случай с обновлением CrowdStrike 2024 года)? Где и как обрабатываются данные? Это абсолютно правильные вопросы! Проблема в том, что пока они часто повисают в воздухе. Почти все заказчики производителям доверяют, очень часто вынужденно, просто потому, что другого варианта нет. Конечно, более зрелый подход в нынешней киберреальности — проверять. На корпоративном языке это называется доверие к цепочкам поставок (supply chain trust), и решать эту задачку самостоятельно — та еще головная боль. Тут нужна помощь производителя. Ответственный вендор готов показывать, что под капотом решений, открывать исходный код партнерам и заказчикам для проверки — в общем, заслуживать доверие не красивыми слайдами, а «железобетонными» практическими шагами. Кто уже делает это, а кто застрял в прошлом? Отвечает свежайшее, фундаментальное исследование от коллег из Европы. Его провели уважаемый тестер AV-Comparatives, Экономическая палата Австрии (WKO), бизнес-школа MCI The Entrepreneurial School и юридическое бюро Studio Legale Tremolada. Короткий вывод исследования: эпоха черных ящиков в кибербезе закончилась. RIP. Аминь. Будущее — за теми, кто не прячет исходные коды и отчеты об уязвимостях и дает клиентам максимум выбора при настройке продукта. И в отчете четко написано, кто не только обещает, но и реально делает. Угадайте кто? Правильно, мы! View the full article -
Fixlog.txt
-
Vladislav M подписался на Kaspersky для Linux
-
Vladislav M присоединился к сообществу
-
Вот, только при выполнении скрипта в avz все программы не закрывал запущенные. Addition.txt FRST.txt
-
Arian scored 100% in a quiz: Викторина Kaspersky NGFW
-
mimic/n3wwv43 ransomware Поймали шифровальщик
kalosha ответил kalosha тема в Помощь в борьбе с шифровальщиками-вымогателями
Спасибо за попытку и помощь в очистке -
И не только в джунглях, но и в водных пространствах. Например, пресноводные дельфины. Слышали о таких? А они есть! Птичий рай тоже в ассортименте. Привет орнитологам! Ленивец на вершине дерева: Наглые (голодные) обезьянки: И снова птички: А вот эту рыбку кто-то напугал, она выпрыгнула из воды, ударила меня в бок - и застряла в нашей лодке. Не волнуйтесь, рыбка была сфотографирована и отпущена обратно. Удав-боа, подросток, с голубоватыми линиями на теле: Вот так получилось! Подробности ещё будут, а то мне опять пора на посадку в очередной самолёт. Да просто всё ой как насыщенно, роскошно, созерцательно - и прочие положительные эпитеты тоже присутствуют в описании нашего новогоднего турне.
-
Сначала - к индейцам! Которые нас чуть не обратили в своё племя, мы даже почти там остались... но всё же вовремя сообразили, что мы же туристы, а не ПМЖ приехали. Фотографируется мотылёк на дереве. Да-да, чуть левее и выше центра - ночной мотылёк. Да, у него такой размер. "Марипоза", однако... (это по-испански, как точно по-португальски ... вроде бы так же). По разлившимся протокам - просто ай! Гроты, выточенные из песчаника разливами реки: Сезон дождей, однако! Но это не слишком постоянно, но как минимум один-два-три раза в день случается. Совершенно пустынные, дикие пляжи - Слияние мутных вод Амазонки и чёрного цвета Риу-Негру (что дословно "Чёрная река"). А рыбы там самой разнообразной столько, что осознать это можно только на местном рыбном рынке города Манаус: А что там ещё в джунглях водится...
