Перейти к содержанию

Системы уравнений


Рекомендуемые сообщения

Опубликовано

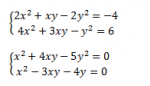
В общем знаю то что есть своя голова и.т.п. Но так сложилось, что в один день мне пришлось ехать к врачу и я не услышал как училка объясняла как делать такой тип систем. (С остальными более легкими проблем нет).

Позвонил другу - ни черта ;) Он тоже не услышал. З.Ы. Задание на 5. Поэтому спросить можно только у пары человек - пока без продвижений.

 

В общем сами уравнения - главное не найти решения, а именно найти способ, т.к. завтра зачет ну а там понятно будут другие :).

post-9877-1289919481_thumb.png

 

Со вторым ;) разобрался с перым завтра пойду училку убивать :)

Тема закрыта.

Гость
Эта тема закрыта для публикации ответов.
×
×
  • Создать...